首页
前端开发
后端开发
Java
前沿技术
人工智能
移动开发
运维&测试
运维
软考考证
嵌入式开发
更多资源
面试专区
公考
登录
未分类
相关标签
Docker
Jenkins
K8S
云原生
测试
价格
价格
免费
付费
折扣会员免费
折扣会员折扣
终身会员免费
排序
发布日期
更新日期
评论数量
随机展示
热度排行
代码整洁之道–读书笔记(3)
本书是编程大师“Bob 大叔”40余年编程生涯的心得体会的总结,讲解要成为真正专业的程序员需...
(零) React Native 项目开发拾遗
此前带过另一位前端同事入门 React Native 开发,有段时间甚至一天得花一两个小时,...
JDBC,SQL注入,事务,C3P0与Druid连接池(最详细解析)
musl libc 与 glibc 在 .NET 应用程序中的兼容性
五子棋AI:实现逻辑与相关背景探讨(上)
基本规则:
manim边学边做–角度标记
对于 锐角和 钝角, 角度标记是一个弧,弧的度数与角的度数一样;
深入剖析HashMap:理解Hash、底层实现与扩容机制
而 HashSet和 HashMap者在Java里有着相同的实现,前者仅仅是对后者做了一层包...
事务发件箱模式在 .NET 云原生开发中的应用(基于Aspire)
发件箱模式是分布式系统领域中的一个重要组件。随着现代软件开发朝着更加分布式和解耦的架构发展,...
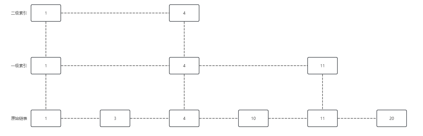
跳跃表
设计模式之模板方法模式(三分钟学会一个设计模式)
先来看定义: 定义一个操作中算法的骨架(模板),将一些步骤延迟到子类中,模板方法使得子类可以...
五子棋AI:实现逻辑与相关背景探讨(下)
在该表中,对不同的情形,设计了不同的奖励数值,这些数值大多是采用经验公式,人为估计的数值,并...
线性dp:LeetCode516 .最长回文子序列
给你一个字符串 s ,找出其中最长的回文子序列,并返回该序列的长度。
使用 `Roslyn` 分析器和修复器对.cs源代码添加头部注释
代码修复器会同时涉及到 CodeFixProvider和 DiagnosticAnalyze...
Java是值传递还是引用传递,又是怎么体现的
打印出来的结果如下:
【Azure Developer】上手 The Best AI Code “Cursor” : 仅仅7次对话,制作个人页面原型,效果让人惊叹!
代码整洁之道–读书笔记(4)
本书是编程大师“Bob 大叔”40余年编程生涯的心得体会的总结,讲解要成为真正专业的程序员需...
别让代码愁白头发!15 个 Python 函数拯救你的开发生活
any函数用于检查一个可迭代对象(如列表、元组等)中是否有至少一个元素满足给定的条件。如果有...
ComfyUI 基础教程(三) —— 应用 Controlnet 精准控制图像生成
看起来平平无奇,当你站远点看,或者把眼睛眯成一条缝了看,你会发现,这个图中藏有一些特别的元素...
C#自定义控件—旋转按钮
【1】按钮的背景(外环<g.DrawEllipse>、内圆<g.FillE...
一步一步将PlantUML类图导出为自定义格式的XMI文件
从中知道如何获取ClassDiagram
FFmpeg开发笔记(五十二)移动端的国产视频播放器GSYVideoPlayer
虽然GSYVideoPlayer主页没有说明要在哪个版本的Android Studio中导入...
Argo CD初体验
接下来我们将展示如何使用 Argo CD 部署一个简单的服务。假设我们要在 Kubernet...
红日靶机(一) 笔记
靶机地址: http://vulnstack.qiyuanxuetang.net/vuln/...
万字长文带你窥探Spring中所有的扩展点
由spring提供的、在容器或bean生命周期各个阶段、供spring框架回调使用的函数方法...
Unity中实现人形角色的攀爬
注:攀爬是一个角色完整动作系统的一部分,本文暂且抛开其它动作,也不涉及动画,仅针对攀爬逻辑的...
编译和分发 Chez Scheme 应用程序
假设源码由两个文件组成, A.ss 和 B.ss,其中 A.ss 依赖 B.ss。下面我们将...
Redis 入门 – 图形化管理工具如何选择,最全分类
Redis图形化管理工具五花八门,可供选择的很多,大家可以根据自己的需求应用场景进行选择。
《痞子衡嵌入式半月刊》 第 107 期
这里分享嵌入式领域有用有趣的项目/工具以及一些热点新闻,农历年分二十四节气,希望在每个交节之...
C++17: 用折叠表达式实现一个IsAllTrue函数
本文记录了逐步实现与优化该函数的思维链,用到了以下现代C++新特性知识,适合对C++进阶知识...
代码整洁之道–读书笔记(5)
本书是编程大师“Bob 大叔”40余年编程生涯的心得体会的总结,讲解要成为真正专业的程序员需...
172/199
上一页
169
170
171
172
173
174
175
下一页
首页
分类
问答
我的
顶部
全部
.net
Android
C++/C#
CSS
Django
Docker
Flink
Flutter
Go
Hadoop
HarmonyOS
Hbase
iOS
IT编程课程
IT高薪课程
Java
JavaScript
Kubernetes
Linux
mk体系
mk实战
Node
PHP
Python
React
React native
Spark
Spring Cloud
SpringBoot
Typescript
UI/视觉
uni-app
Vue
一级建造师
中级会计职称
中级经济师
人工智能
公考
初中
初级会计职称
前沿技术
前端开发
区块链
后端开发
外语学习
大数据
小学
小程序
嵌入式开发
建造类
微服务
投资理财
教师资格证
教育专区
数据分析&挖掘
新媒体运营
更多资源
未分类
机器学习
注册会计师
注册税务师
测试
深度学习
爬虫
电子书
电子书
电子资料
移动开发
算法与数据结构
综合
综合
综合教程
网易云
网赚教程
自然语言处理
计算机基础
计算机网络
计算机视觉
财会类
软件
软考考证
运维
运维&测试
面试专区
高中
IT编程课程
IT高薪课程
Java
Linux
MySQL
Python
UI/视觉
中级会计职称
公考
前端开发
后端开发
更多资源
未分类
注册会计师
综合
综合教程
网赚教程
财会类