首页
前端开发
后端开发
Java
前沿技术
人工智能
移动开发
运维&测试
运维
软考考证
嵌入式开发
更多资源
面试专区
公考
登录
未分类
相关标签
Docker
Jenkins
K8S
云原生
测试
价格
价格
免费
付费
折扣会员免费
折扣会员折扣
终身会员免费
排序
发布日期
更新日期
评论数量
随机展示
热度排行
Centos 实现 MySql 8.0.40 主从配置
首先,登录到主服务器,编辑 MySQL 配置文件(通常位于 /etc/my.cnf 或 /e...
三维装箱问题(3D Bin Packing Problem, 3D-BPP)
你会怎样设计算法?
可轻便docker部署的密码保存系统:Vaultwarden
3. 创建Vaultwarden容器:
大模型评估排障指南 | 关于推理
如果你想要评估结果完全可复现 (在特定的输入 prompt 和硬件条件下),你可以把 bat...
Windows上,10分钟构建一个本地知识库
阅读本章时,已默认安装你的个人电脑上安装了Python 3.6-3.12中的一个版本、以及P...
最火向量数据库Milvus安装使用一条龙!
常见的向量数据库有以下这些:
Netty 心跳机制实现(客户端与服务端)
对于 WebSocket 连接,心跳机制需要特殊处理:
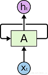
Python—Pytorch学习-RNN(一)
《零基础学习人工智能—Python—Pytorch学习(四)》,关于Linear的理解是错误...
『Plotly实战指南』–样式定制高级篇
当基础图表已无法满足品牌化需求时,样式定制能力将成为数据叙事的关键武器。
Python查看微信撤回消息
本文转载至知乎ID:Charles(白露未晞)知乎个人专栏 下载W3Cschool手机App...
学会利用Python实现“美颜”功能
本文转载至知乎ID:Charles(白露未晞)知乎个人专栏 下载W3Cschool手机App...
Python简单品读小说
本文转载至知乎ID:Charles(白露未晞)知乎个人专栏 下载W3Cschool手机App...
Python实现颜值预测
本文转载至知乎ID:Charles(白露未晞)知乎个人专栏 下载W3Cschool手机App...
Python预测NBA比赛结果
本文转载至知乎ID:Charles(白露未晞)知乎个人专栏 下载W3Cschool手机App...
Python实用教学:如何用Python玩转各大网站
下载W3Cschool手机App,0基础随时随地学编程 >>戳此了解 Hi~,各...
Python制作AI且mini版飞机大战
本文转载至知乎ID:Charles(白露未晞)知乎个人专栏 下载W3Cschool手机App...
Python+遗传算法拟合图像
本文转载至知乎ID:Charles(白露未晞)知乎个人专栏 下载W3Cschool手机App...
Python+OpenCV实现猫脸检测
本文转载至知乎ID:Charles(白露未晞)知乎个人专栏 导语 利用Python+Open...
【Python】分析个人音乐收藏
本文转载至知乎ID:Charles(白露未晞)知乎个人专栏 下载W3Cschool手机App...
【Python】垃圾邮件识别
本文转载至知乎ID:Charles(白露未晞)知乎个人专栏 下载W3Cschool手机App...
Python玩CartPole(DQN)
本文转载至知乎ID:Charles(白露未晞)知乎个人专栏 下载W3Cschool手机App...
Python破解Flappy Bird游戏
本文转载至知乎ID:Charles(白露未晞)知乎个人专栏 下载W3Cschool手机App...
Python实现简单的机器翻译模型
本文转载至知乎ID:Charles(白露未晞)知乎个人专栏 下载W3Cschool手机App...
学会Python实现学写作
本文转载至知乎ID:Charles(白露未晞)知乎个人专栏 下载W3Cschool手机App...
【Python】RNN实现文本生成
本文转载至知乎ID:Charles(白露未晞)知乎个人专栏 导语 本文将在此基础上介绍LST...
Python简单实现图像风格迁移
本文转载至知乎ID: Charles(白露未晞)知乎个人专栏 下载W3Cschool手机Ap...
【Python】FCN+滤波器实现细胞检测
本文转载至知乎ID:Charles(白露未晞)知乎个人专栏 下载W3Cschool手机App...
【Python】利用GAN生成MNIST数据集
本文转载至知乎ID: Charles(白露未晞)知乎个人专栏 下载W3Cschool手机Ap...
【Python】利用GAN生成动漫头像
本文转载至知乎ID:Charles(白露未晞)知乎个人专栏 下载W3Cschool手机App...
python学画画(上)
本文转载至知乎ID:Charles(白露未晞)知乎个人专栏 下载W3Cschool手机App...
35/199
上一页
32
33
34
35
36
37
38
下一页
首页
分类
问答
我的
顶部
全部
.net
Android
C++/C#
CSS
Django
Docker
Flink
Flutter
Go
Hadoop
HarmonyOS
Hbase
iOS
IT编程课程
IT高薪课程
Java
JavaScript
Kubernetes
Linux
mk体系
mk实战
Node
PHP
Python
React
React native
Spark
Spring Cloud
SpringBoot
Typescript
UI/视觉
uni-app
Vue
一级建造师
中级会计职称
中级经济师
人工智能
公考
初中
初级会计职称
前沿技术
前端开发
区块链
后端开发
外语学习
大数据
小学
小程序
嵌入式开发
建造类
微服务
投资理财
教师资格证
教育专区
数据分析&挖掘
新媒体运营
更多资源
未分类
机器学习
注册会计师
注册税务师
测试
深度学习
爬虫
电子书
电子书
电子资料
移动开发
算法与数据结构
综合
综合
综合教程
网易云
网赚教程
自然语言处理
计算机基础
计算机网络
计算机视觉
财会类
软件
软考考证
运维
运维&测试
面试专区
高中
IT编程课程
IT高薪课程
Java
Linux
MySQL
Python
UI/视觉
中级会计职称
公考
前端开发
后端开发
更多资源
未分类
注册会计师
综合
综合教程
网赚教程
财会类